• Предмет: Физика
  • Автор: berseerk
  • Вопрос задан 1 год назад

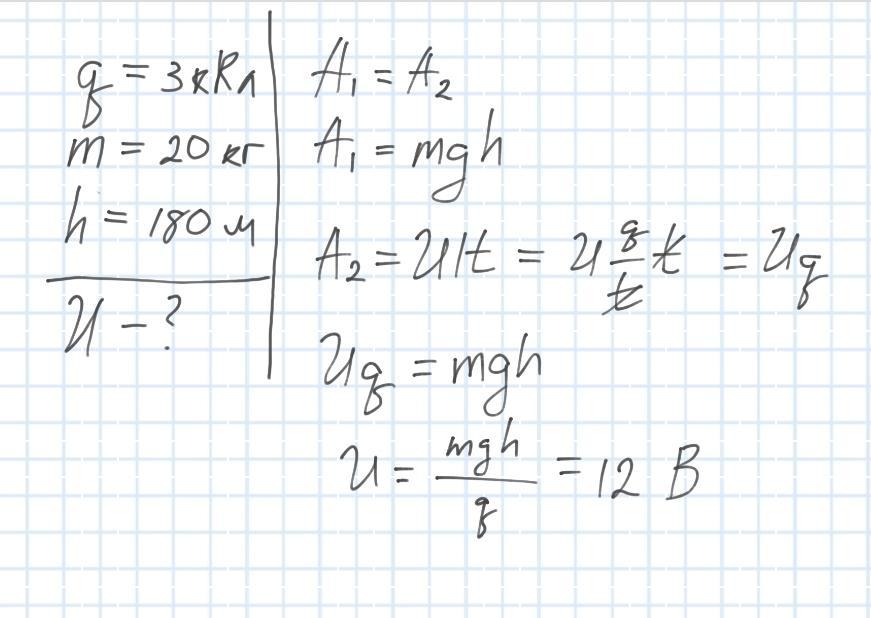
Електричне поле, переміщуючи ділянкою кола заряд 3 кКл, виконує
таку саму роботу, яку виконує сила тяжіння під час падіння тіла масою 20 кг з
висоти 180 м. Чому дорівнює напруга на ділянці?


samofalmaks9: Ща...

Ответы

Ответ дал: arhe0411
0

Ответ:

V ≈ 1174 В

Объяснение:

V= q / m⋅g⋅h
V=20 ⋅ 9.81 ⋅ 180 / 3
V ≈ 1174 В


samofalmaks9: Ні
samofalmaks9: Не правильно
samofalmaks9: Буде 12 вольт
Ответ дал: samofalmaks9
1

Відповідь:

Пояснення:

Приложения:
Вас заинтересует