7. Розв’яжіть рівняння:
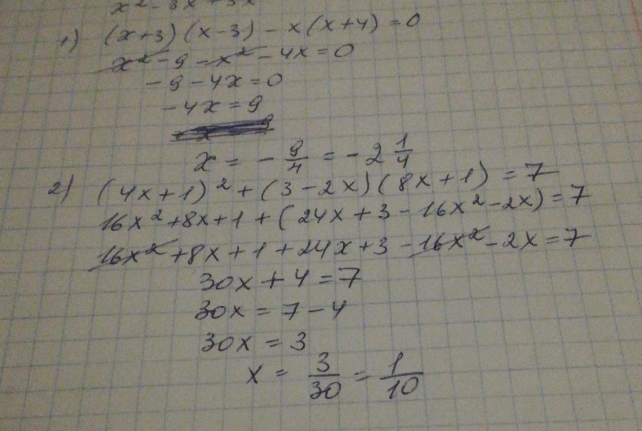
а) (х + 3)(х – 3) – х(х + 4) =0;
б) (4х + 1) 2 + (3 – 2х)(8х + 1) = 7.
Будь ласка!
Ответы
Ответ дал:
0
Ответ:
а) - 9/4
Объяснение:
а) х²-9-х²-4х=0
-9-4х=0
-4х=9
-х=9/4
х=-9/4
Ответ дал:
0
Ответ:
Смотри решение на фото..
Приложения:

larisaserova53:
Посмотри 2)пример, первое выражение в квадрате?????
Вас заинтересует
1 год назад
1 год назад
1 год назад
1 год назад
2 года назад
8 лет назад