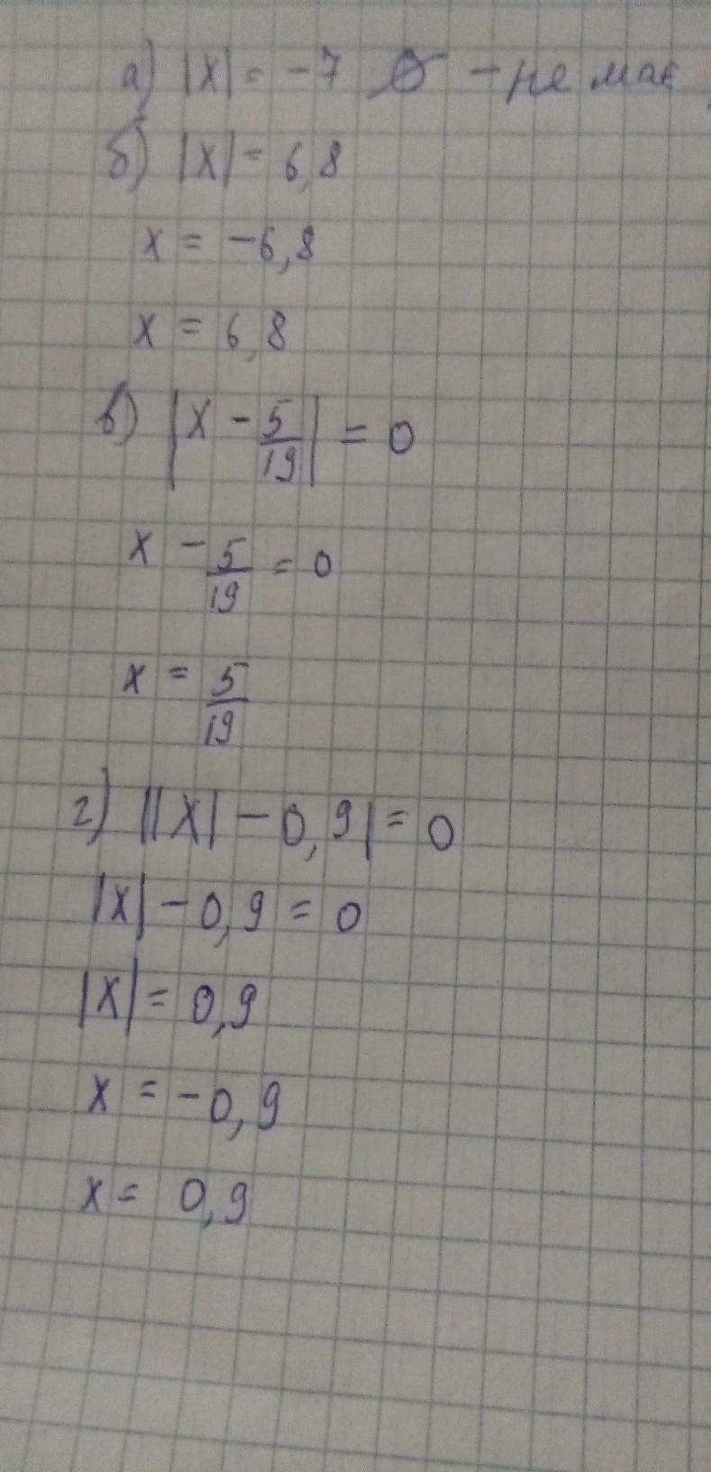
3. Розв'яжи рівняння.
a) Ixl = −7;
б) |x| = 6,8
в) | х-5/19|=0
г) |2-1/4 -|х| | = 0
д) ||х| - 0,9| = 0
Помогите пожалуйста
Ответы
Ответ дал:
6
Пошаговое объяснение:
надеюсь помогла) в а там написано немає розв'язків^^
Приложения:

Вас заинтересует
1 год назад
1 год назад
2 года назад
2 года назад
8 лет назад
8 лет назад
б)х=0
в)х=-0,4; 0,4
г)х=-5/8;5/8