• Предмет: Математика
  • Автор: yuriiromaniuk2006
  • Вопрос задан 1 год назад

Допоможіть прошу дуже потрібно

Приложения:

Ответы

Ответ дал: NNNLLL54
1

Ответ:

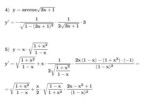
Найти производные функций . Применяем правила дифференцирования и таблицу производных .

\bf 1)\ \ y=(5-2x)\, tgx\\\\y'=-2\cdot tgx+(5-2x)\cdot \dfrac{1}{cos^2x}\\\\\\2)\ \ y=\dfrac{\sqrt{x}}{cosx}\\\\y'=\dfrac{\dfrac{1}{2\sqrt{x}}\cdot cosx-\sqrt{x}\cdot (-sinx)}{cos^2x}=\dfrac{cosx+2\sqrt{x}\cdot \sqrt{x}\cdot sinx}{2\sqrt{x}\cdot cos^2x}=\dfrac{cosx+2x\cdot sinx}{2\sqrt{x}\cdot cos^2x}  

\bf 3)\ \ y=ln^5(x^3)-\sqrt{x}\\\\y'=5\cdot ln^4(x^3)\cdot \dfrac{1}{x^3}\cdot 3x^2-\dfrac{1}{2\sqrt{x}}=\dfrac{15\cdot ln^4(x^3)}{x}-\dfrac{1}{2\sqrt{x}}\\\\\\4)\ \ y=arccos\sqrt{3x+1}\\\\y'=-\dfrac{1}{\sqrt{1-(3x+1)^2}}\cdot \dfrac{1}{2\sqrt{3x+1}}\cdot 3  

\bf \displaystyle 5)\ \ y=x\cdot \sqrt{\frac{1+x^2}{1-x}}\\\\y'=\sqrt{\frac{1+x^2}{1-x}}+x\cdot \frac{1}{2\sqrt{\dfrac{1+x^2}{1-x}}}\cdot \frac{2x\, (1-x)-(1+x^2)\cdot (-1)}{(1-x)^2}=\\\\\\=\sqrt{\frac{1+x^2}{1-x}}+\frac{x}{2}\cdot \sqrt{\frac{1-x}{1+x^2}}\cdot\frac{2x-x^2+1}{(1-x)^2}    

Приложения:
Вас заинтересует