• Предмет: Алгебра
  • Автор: marmaladik228
  • Вопрос задан 1 год назад

Срочно!!!
50 балов!!!

Приложения:

Ответы

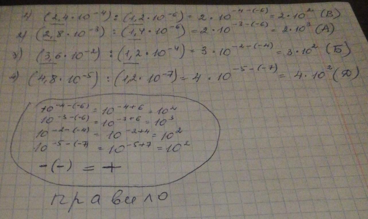
Ответ дал: larisaserova53
1

Ответ:

Смотри решение на фото...

Приложения:
Вас заинтересует