Ответы
Ответ дал:
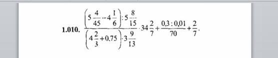
1
Відповідь:
Покрокове пояснення:
Приложения:


whyd1e39gg:
спасибо большое!
Ответ дал:
1
Ответ: 1
Пошаговое объяснение:
Вас заинтересует
1 год назад
1 год назад
1 год назад
2 года назад
2 года назад
8 лет назад