• Предмет: Алгебра
  • Автор: most57138
  • Вопрос задан 1 год назад

Помоги пожалуйста Алгебра 8 клас. Даю 64бала.

Приложения:

Ответы

Ответ дал: Bogdikek
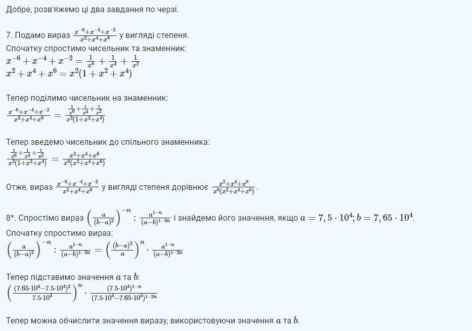
1

Відповідь:

Пояснення:

Приложения:

most57138: Спасибо выручил
Вас заинтересует