• Предмет: Алгебра
  • Автор: yuliank0805
  • Вопрос задан 1 год назад

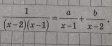
Визначити значення параметрів А і В за яких рівність(фото) є тотожністю

Приложения:

Ответы

Ответ дал: sangers1959
0

Ответ:

Объяснение: a=-1,  b=1.

\displaystyle\\\frac{1}{(x-2)*(x-1)}=\frac{a}{x-1}+\frac{b}{x-2} =\frac{a*(x-2)+b*(x-1)}{(x-1)*(x-2)}=  \\\\\\=\frac{ax-2x+bx-b}{(x-2)*(x-1)} =\frac{(a+b)*x-(2a+b)}{(x-2)*(x-1)} \ \ \ \ \ \ \Rightarrow\\\\\\(a+b)*x-(2a+b)=1\\\\\left \{ {{a+b=0} \atop {-(2a+b)=1\ |*(-1)}} \right. \ \ \ \ \ \ \left \{ {{-b=a} \atop {2a+b=-1}} \right. \ \ \ \ \ \ \left \{ {{b=-a} \atop {2a+(-a)=-1}} \right. \\\\\\\left \{ {{b=-a} \atop {a=-1}} \right. \ \ \ \ \ \ \left \{ {{b=1} \atop {a=-1}} \right. .

Вас заинтересует