• Предмет: Алгебра
  • Автор: nazartarasyuk13
  • Вопрос задан 1 год назад

Допоможіть розвʼязати нерівності, Будь ласка. Алгебра 9клас

Приложения:

Ответы

Ответ дал: kzarkov425
0

Відповідь:

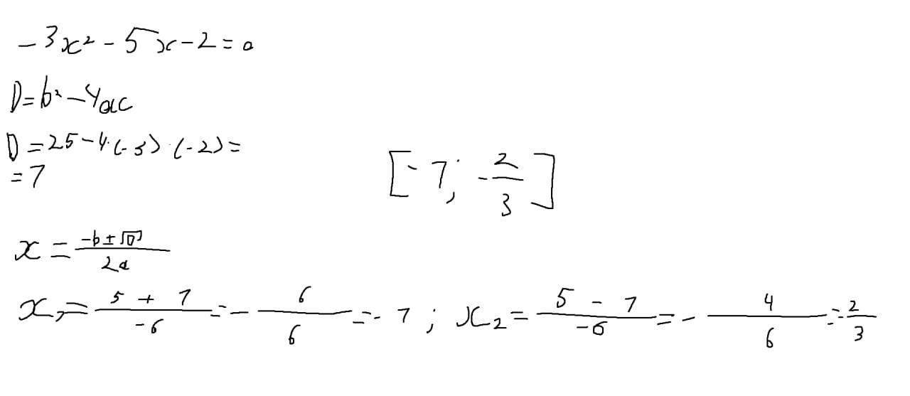
Не сильно шарю, мабуть шо так

Пояснення:

Приложения:
Вас заинтересует