• Предмет: Математика
  • Автор: Oceana9746
  • Вопрос задан 1 год назад

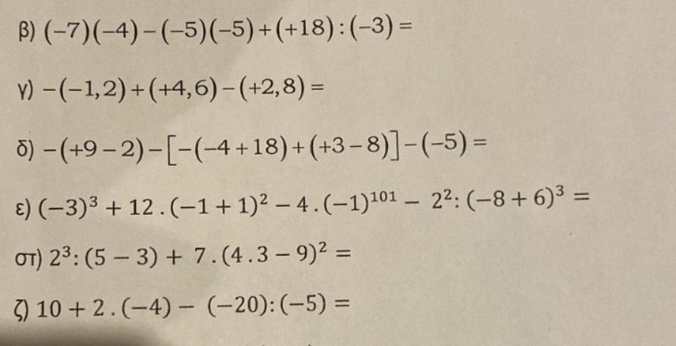
ПОМОГИТЕ С ПРИМЕРАМИ МОЛЮ (-7)(-4)-(-5)(-5)+(+18): (-3) = -(-1,2)+(+4,6)-(+2,8) -(+9-2)-[-(-4+18) + (+3-8)]-(-5) = (-3)³ + 12.(-1 + 1)² - 4.(-1) 101 - 2²: (-8+6)³ = 23: (5-3)+7.(4.3-9)² = 10+2.(-4)-(-20):(-5) = =​

Приложения:

Ответы

Ответ дал: martinikuks
1

Пошаговое объяснение:

1) (-7)(-4)-(-5)(-5)+(+18):(-3) = 28-25-6= -3

2) -(-1,2)+(+4,6)-(+2,8)= 3

3)-(+9-2)-[-(-4+18) + (+3-8)]-(-5) = -7 -19 +5 = -21

4)(-3)³ + 12.(-1 + 1)² - 4.(-1) 101 - 2²: (-8+6)³ = -22.5

5) 2³: (5-3)+7.(4.3-9)² = 67

6)10+2.(-4)-(-20):(-5) = -2

Вас заинтересует