• Предмет: Алгебра
  • Автор: romanchernukha
  • Вопрос задан 1 год назад

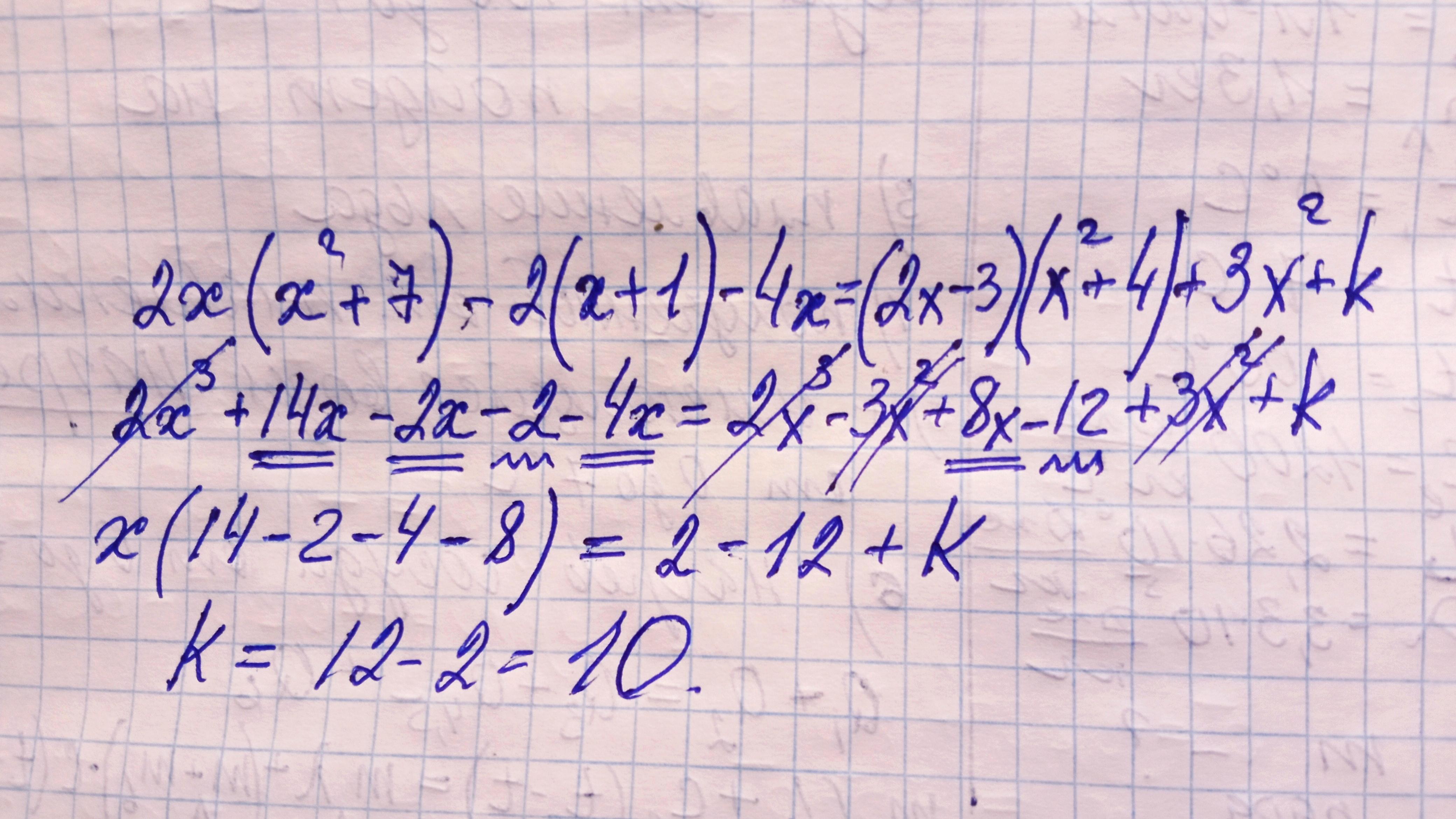
СРОЧНО 10 ВОПРОС НУЖНО ТОЛЬКО РЕШИТЬ ПРОШУ БЫСТРО!!!

Приложения:

Ответы

Ответ дал: Cohendd
0

Ответ: k=10.

Объяснение:

Приложения:

Cohendd: Я не математик. Тупо раскрыла скобки.
romanchernukha: Поздно
Cohendd: Ну, уж, извини. Это не скачки)))
Вас заинтересует