• Предмет: Алгебра
  • Автор: pereklickijdavid
  • Вопрос задан 1 год назад

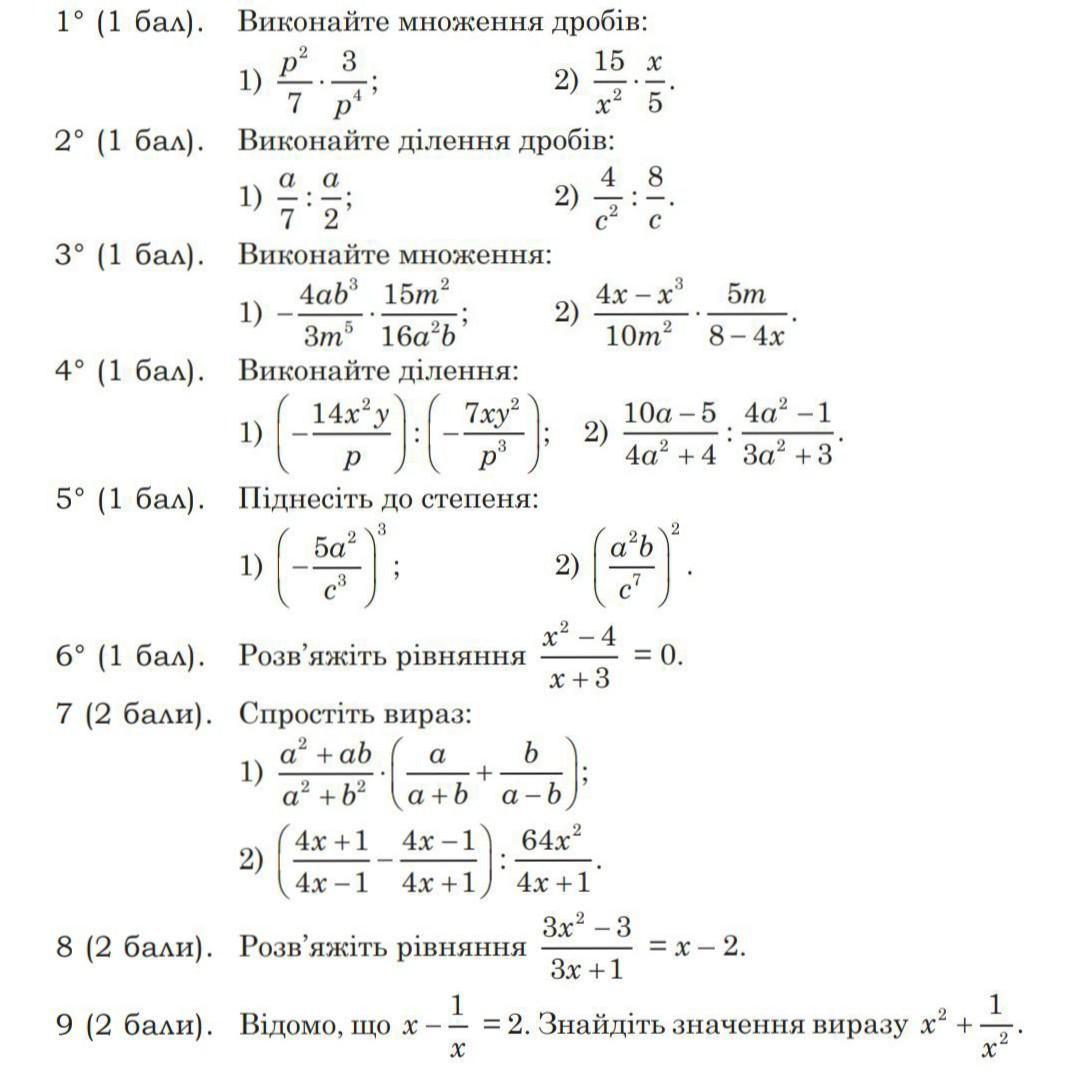
Даю 80 балів!!!!!!!!​

Приложения:

Ответы

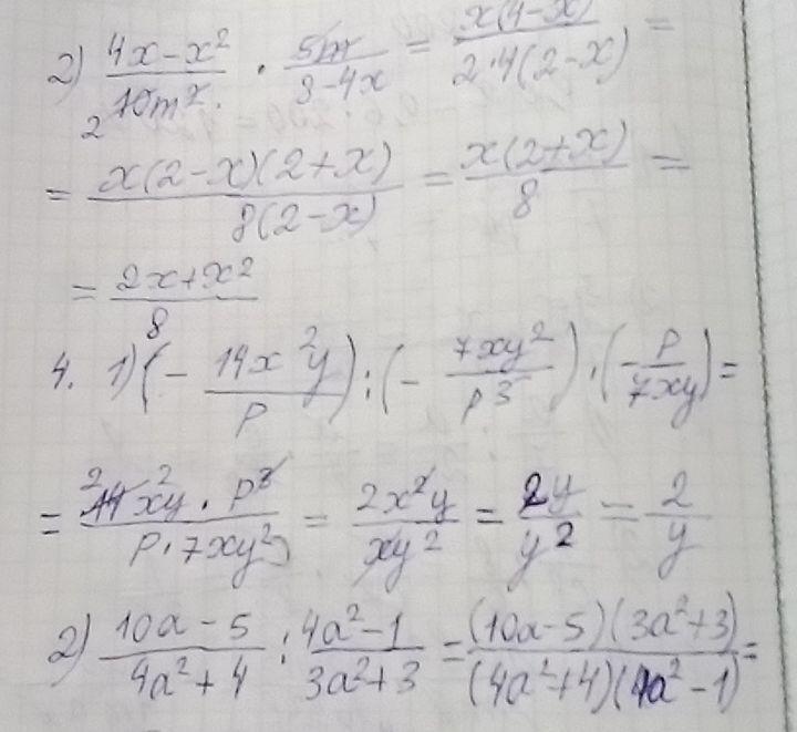
Ответ дал: Tyankanax
1

Ответ: Ответ:

...................................

Объяснение:

Приложения:

pereklickijdavid: лучший
Вас заинтересует