• Предмет: Математика
  • Автор: robiaabdirasitova
  • Вопрос задан 1 год назад

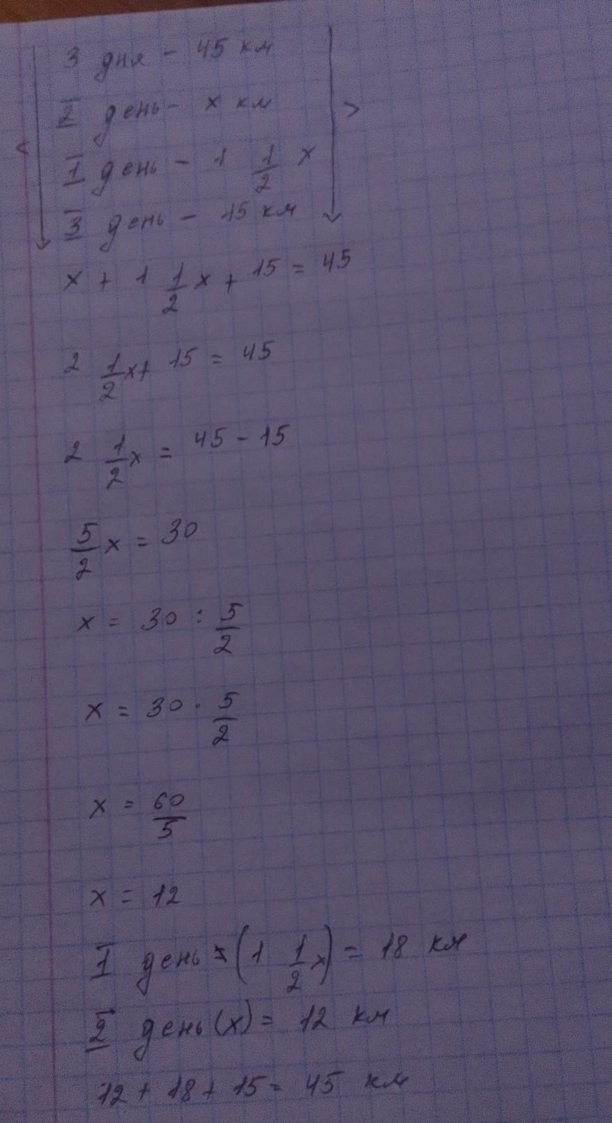
33. Туристы за три дня прошли 45 км. В первый день они прошли в 1 раза больше длины пути, чем во второй 1 2 день, а в третий день 15 км. Сколько километров прошли туристы в первый день?​


ildar502020: В 1 раз больше не бывает!!!???Исправьте условие!

Ответы

Ответ дал: suusnkk
7

вот ответ, надеюсь вам поможет.

Приложения:
Вас заинтересует