• Предмет: Алгебра
  • Автор: usenkozahar32
  • Вопрос задан 1 год назад

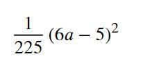
Подайте вираз у вигляді квадрата двочлена 4/25a^2-4/15a+1/9

Ответы

Ответ дал: smashchenko1
2

Відповідь:ОСЬ

Пояснення:

Приложения:
Вас заинтересует