• Предмет: Алгебра
  • Автор: ssswwwaaaggg1911
  • Вопрос задан 1 год назад

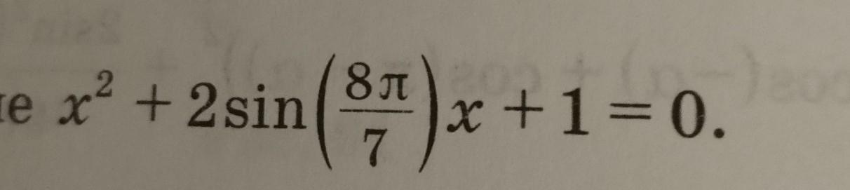
Помогите решить уравнение пожалуйста!!!!!!!​

Приложения:

Ответы

Ответ дал: pawr21
0

x^2+2\sin \cfrac{8\pi}{7}\cdot x+1=0\\D_x=\sin^2 \cfrac{8\pi}{7}-1\cdot 1=\underbrace{\sin^2 \cfrac{8\pi}{7}}_{(0,1)}-1 < 0\\x=\pm\sqrt{\sin^2 \cfrac{8\pi}{7}-1}-\sin \cfrac{8\pi}{7}=\pm \sqrt{-\cos^2\cfrac{\pi}{7}}+\sin \frac{\pi}{7}=\mp i\cos \cfrac{\pi}{7}+\sin \cfrac{\pi}{7}

Вас заинтересует