• Предмет: Алгебра
  • Автор: irynakalahan
  • Вопрос задан 1 год назад

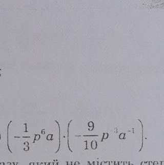
Поможіть!!!!срочно( з поясненням)спростити вираз.

Приложения:

Ответы

Ответ дал: CRzDanylo
0

Відповідь:

Пояснення:

Приложения:
Вас заинтересует