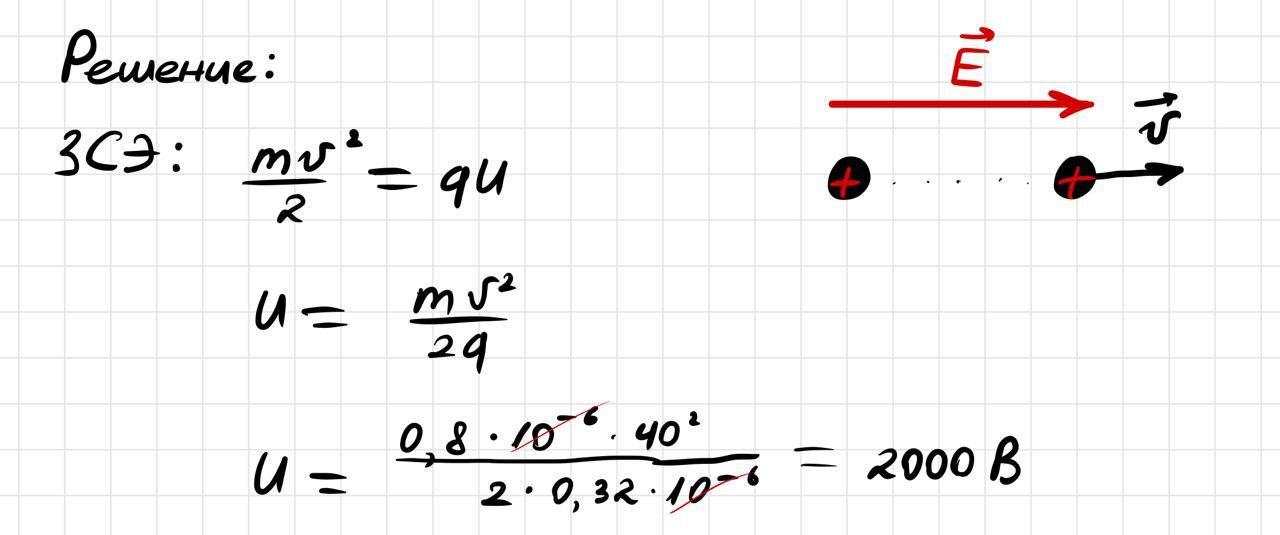
5. Шарик массой m = 0,80 мг, заряд которого q = 0,32 мкКл, пере- мещается горизонтально в электрическом поле из одной точки в другую. Скорость в начальной точке равна нулю, а в конечной M C точке скорость движения шарика v = 40 Определите напря- жение между этими точками поля.
СРОЧНО!!!ДАМ 50 БАЛОВ!!! ПОЖАЛУЙСТА!!!
Приложения:

Ответы
Ответ дал:
1
Ответ:
2000 В
Объяснение:
см вложение
Приложения:

Вас заинтересует
1 год назад
1 год назад
1 год назад
1 год назад