• Предмет: Алгебра
  • Автор: W1zarDkek
  • Вопрос задан 1 год назад

Помогите пожалуйста с заданиями по алгебре плиз

Приложения:

W1zarDkek: Если можно я б хотел на листочке как правильно писать

Ответы

Ответ дал: dobra888
1

Відповідь:

Пояснення:

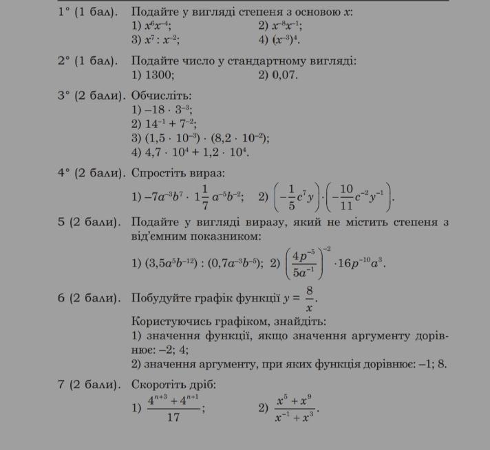
    1 .  1 ) . . . = x² ;       2 ) . . . = x⁻⁹ ;    3 ) . . . = x⁹ ;   4 ) . . . = x⁻¹² .

   2 .  1 ) 1300 = 1,3 * 10³ ;       2 ) 0,07 = 7 * 10⁻² .

   3 .  1 ) - 18 * 3⁻³ = - 18 * 1/3³ = - 18/27 = -2/3 ;

        2 ) 14⁻¹ + 7⁻² = 1/14 + 1/7² = 1/14 + 1/49 = 9/98 ;

        3 ) ( 1,5 * 10⁻³ )*( 8,2 * 10⁻² ) = 12,3 * 10⁻⁵ = 1,23 * 10⁻⁴ ;

        4 ) 4,7 * 10⁴ + 1,2 * 10⁴ = ( 4,7 + 1,2 )* 10⁴ = 5,9 * 10⁴ .

   4 . 1 ) . . . = - 8a⁻⁸b⁵ ;    2 ) . . . = 2/11 c⁵y⁰ = 2/11 c⁵ * 1 = 2/11 c⁵ .

   5 . 1 ) . . . = 5a⁸b⁻⁷ = 5a⁸/b⁷ ;

       2 ) . . . = 25/16 * p¹⁰/a² * 16p⁻¹⁰a³ = 25a* p⁰ = 25a * 1 = 25a .

   6 . У підручнику є готове .

   7 . 1 ) ( 4ⁿ⁺³ + 4ⁿ⁺¹ )/17 = 4ⁿ⁺¹ *( 4² + 1 )/17 = 4ⁿ⁺¹ * 17/17 = 4ⁿ⁺¹ ;

       2 ) ( x⁵ + x⁹ )/( x⁻¹ + x³ ) = x⁵( 1 + x⁴ )/( 1/x + x³ ) = x⁵( 1 + x⁴ )*x/( 1 + x⁴ ) =

          = x⁵ * x = x⁶ .            


W1zarDkek: А який підручник
W1zarDkek: Скажи плиз
Вас заинтересует