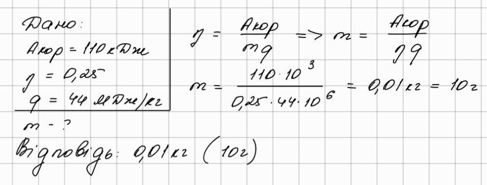
Скільки природного газу необхідно спалити для виконання корисної роботи 110кДж якщо ККД двигуна 25%?
Ответы
Ответ дал:
0
Відповідь:
0,01 кг або 10 г
Пояснення:
Фото
Приложения:

Вас заинтересует
1 год назад
1 год назад
1 год назад
1 год назад
2 года назад
8 лет назад
8 лет назад