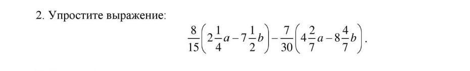
Ответы
Ответ дал:
0
надеюсь так если что то не так сорян((
Приложения:

Вас заинтересует
1 год назад
1 год назад
1 год назад
2 года назад
8 лет назад
8 лет назад