Помогите пожалуйста!!!!(без программы)
Дам 50 баллов
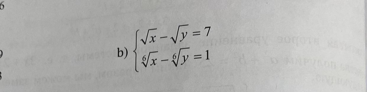
Приложения:

Simba2017:
первое-надо расписать как разность кубов
Ответы
Ответ дал:
0
введу новые переменные
a=x^(1/6)
b=y^(1/6)
тогда система примет вид:
a^3-b^3=7
a-b=1
решу ее методом подстановки
a=1+b
и подставлю ее вышестоящее уравнение
(1+b)^3-b^3=7
1+3b+3b^2+b^3-b^3=7
3b^2+3b-6=0
b^2+b-2=0
D=1+8=3^2
b1=(-1-3)/2=-2; a1=1-2=-1
b2=(-1+3)/2=1;a2=1+1=2
a1=-1; b1=-2-не подходить, так как x^(1/6)≥0
a2=2;b2=1
x^(1/6)=2; x=2^6=64
y^(1/6)=1;y=1^6=1
проверка:
√64-√1=8-1=7
64^(1/6)-1^(1/6)=2-1=1
Ответ (64;1)
Решите и Опишите способ решения этих двух задач.
https://znanija.com/task/54510368?utm_source=android&utm_medium=share&utm_campaign=question
Вас заинтересует
1 год назад
1 год назад
1 год назад
1 год назад
2 года назад
8 лет назад