• Предмет: Химия
  • Автор: Cat266
  • Вопрос задан 10 лет назад

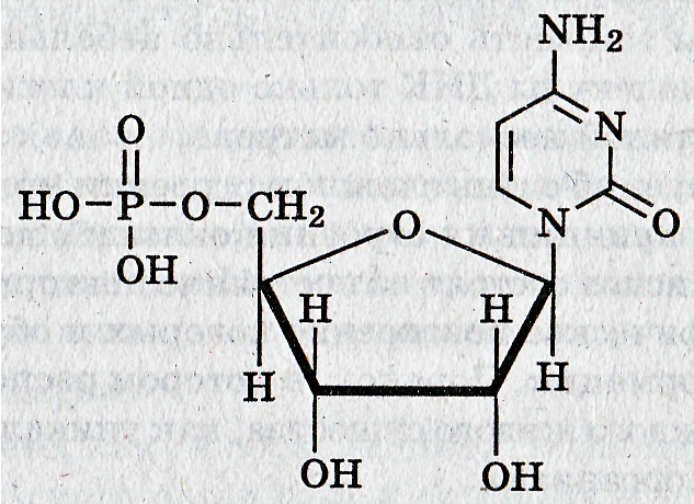
Вычислите молекулярную массу нуклеотида по структурной формуле

Приложения:

Ответы

Ответ дал: TheDominusBellum
0
данный нуклетид имеют молекулярную массу 323 г/моль
Ответ дал: Cat266
0
А можно решение?
Ответ дал: TheDominusBellum
0
108 весит цитозин
111 остатор фосфорной
Ответ дал: TheDominusBellum
0
102 основание
Вас заинтересует