• Предмет: Алгебра
  • Автор: anastasiaklus896
  • Вопрос задан 1 год назад

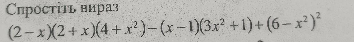
допоможіть даю 10 балів ​

Приложения:

Ответы

Ответ дал: adamovfarhat068
0

Ответ:

лллддадащвщвдвдвжвдвдвдвдвду


anastasiaklus896: ???
Вас заинтересует