• Предмет: Алгебра
  • Автор: animlixx
  • Вопрос задан 1 год назад

Допоможіть 5 завдання срочно даю 100 балов

Приложения:

Ответы

Ответ дал: Alnadya
0

Решение .

Решить уравнения .

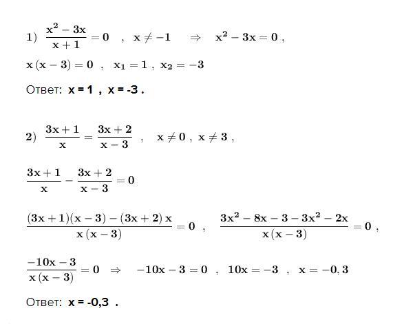
\bf 1)\ \ \dfrac{x^2-3x}{x+1}=0\ \ \ ,\ \ x\ne -1\ \ \ \ \Rightarrow \ \ \ x^2-3x=0\ ,\\\\x\, (x-3)=0\ \ ,\ \ x_1=1\ ,\ x_2=-3  

Ответ:  х = 1  ,  х = -3 .

\bf 2)\ \ \dfrac{3x+1}{x}=\dfrac{3x+2}{x-3}\ \ ,\ \ \ x\ne 0\ ,\ x\ne 3\ ,\\\\\\\dfrac{3x+1}{x}-\dfrac{3x+2}{x-3}=0\\\\\\\dfrac{(3x+1)(x-3)-(3x+2)\, x}{x\, (x-3)}=0\ \ ,\ \ \ \dfrac{3x^2-8x-3-3x^2-2x}{x\, (x-3)}=0\ ,\\\\\\\dfrac{-10x-3}{x\, (x-3)}=0\ \ \Rightarrow \ \ \ -10x-3=0\ \ ,\ \ 10x=-3\ \ ,\ \ x=-0,3    

Ответ:  х = -0,3  .

Приложения:
Вас заинтересует