• Предмет: Геометрия
  • Автор: dvoretska7
  • Вопрос задан 1 год назад

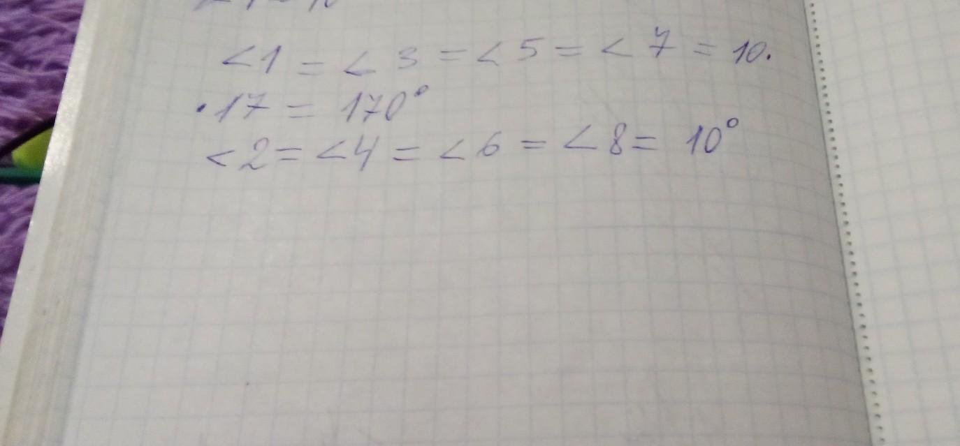
Знайдіть кути при паралельних прямій і січній, якщо внутрішні односторонні кути відносяться, як: 1:17.
накресліть відповідь срочно​

Ответы

Ответ дал: vikakitaki0
0

Ответ:

________________________

Приложения:
Вас заинтересует