решите на множестве R неравенство метод интервалов
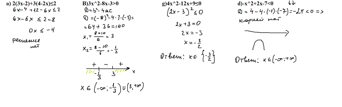
а) 2(3x-2)+3(4-2x)≤2
B)3x^2-8x-3>0
g)4x^2-12x+9≤0
d)-x^2+2x-7<0
должна быть кривая знаков и ответ
Ответы
Ответ дал:
0
Если понравилось решение - нажимай "спасибо" и "лучший" (рядом с кнопкой "спасибо") :)
Приложения:

Ответ дал:
0
http://znanija.com/task/5452665
Ответ дал:
0
а) 2(3x-2) + 3(4-2x) <= 2
6x - 4 + 12 - 6x <= 2
8 <= 2
Решений нет
B) 3x^2 - 8x - 3 > 0
D/4 = 4^2 - 3(-3) = 25
x1 = (4 - 5)/3 = -1/3
x2 = (4 + 5)/3 = 3
x < -1/3 U x > 3
g) 4x^2 - 12x + 9 <= 0
D/4 = 6^2 - 4*9 = 0
x = 6/4 = 1,5 - это единственное решение, при любом другом х левая часть > 0
d)-x^2 + 2x - 7 < 0
D/4 = 1^2 - (-1)(-7) = 1 - 7 = -6 < 0
x = (-oo, +oo)
Ветви направлены вниз, при любом х левая часть < 0
6x - 4 + 12 - 6x <= 2
8 <= 2
Решений нет
B) 3x^2 - 8x - 3 > 0
D/4 = 4^2 - 3(-3) = 25
x1 = (4 - 5)/3 = -1/3
x2 = (4 + 5)/3 = 3
x < -1/3 U x > 3
g) 4x^2 - 12x + 9 <= 0
D/4 = 6^2 - 4*9 = 0
x = 6/4 = 1,5 - это единственное решение, при любом другом х левая часть > 0
d)-x^2 + 2x - 7 < 0
D/4 = 1^2 - (-1)(-7) = 1 - 7 = -6 < 0
x = (-oo, +oo)
Ветви направлены вниз, при любом х левая часть < 0
Приложения:

Вас заинтересует
2 года назад
8 лет назад
10 лет назад
10 лет назад
10 лет назад