• Предмет: Математика
  • Автор: maxloxyt
  • Вопрос задан 1 год назад

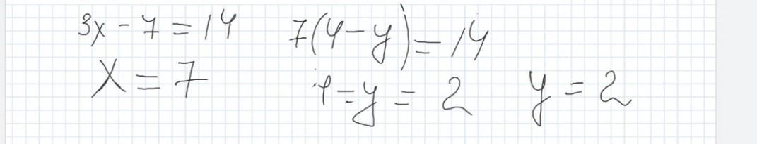
розв'яжіть систему рівнянь способом підстановки {x(4-y)=14, x(4-y)=3x-7} якщо (x0:y0) - розв'язок системи, то y0=

Ответы

Ответ дал: givanovic755
1

Ответ:

Пошаговое объяснение:

Приложения:
Вас заинтересует