1/найдите область определения функции заданной формулой
f(x)=
2. решите на множесве действительных чисел методом интервалов нерапвенство
а)
≥0
b)
<0
Ответы
Ответ дал:
0
Если понравилось решение - нажимай "спасибо" и "лучший" (рядом с кнопкой "спасибо") :)
Приложения:
Ответ дал:
0
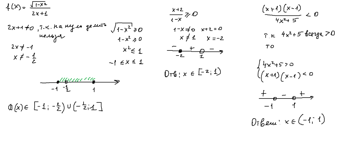
1) 2x + 1 =/= 0, x =/= -1/2
1 - x^2 >= 0
(1 - x)(1 + x) >= 0
-1 <= x <= 1
Ответ: x = [-1, -1/2) U (-1/2, 1]
2) a) (x + 2)/(1 - x) >= 0
Промежутки: (-oo, -2], [-2, 1), (1, +oo)
По методу интервалов берем любое число, например, 0, и подставляем
(0 + 2)/(1 - 0) = 2/1 = 2 > 0
Значит, отрезок [-2, 1) подходит, а остальные нет.
б) (x + 1)(x - 1)/(4x^2 + 5) < 0
Знаменатель всегда > 0, поэтому на него можно умножить.
(x + 1)(x - 1) < 0
По методу интервалов подходит отрезок (-1, 1)
1 - x^2 >= 0
(1 - x)(1 + x) >= 0
-1 <= x <= 1
Ответ: x = [-1, -1/2) U (-1/2, 1]
2) a) (x + 2)/(1 - x) >= 0
Промежутки: (-oo, -2], [-2, 1), (1, +oo)
По методу интервалов берем любое число, например, 0, и подставляем
(0 + 2)/(1 - 0) = 2/1 = 2 > 0
Значит, отрезок [-2, 1) подходит, а остальные нет.
б) (x + 1)(x - 1)/(4x^2 + 5) < 0
Знаменатель всегда > 0, поэтому на него можно умножить.
(x + 1)(x - 1) < 0
По методу интервалов подходит отрезок (-1, 1)
Приложения:
Вас заинтересует
3 года назад
3 года назад
11 лет назад
11 лет назад
11 лет назад