• Предмет: Математика
  • Автор: timurka61
  • Вопрос задан 1 год назад

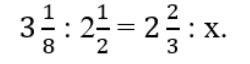
Срочно дам 50 балов!!!Розв'яжи рівняння:

Приложения:

Ответы

Ответ дал: mussayevaaktoty
1

Ответ:

1,6

Пошаговое объяснение:

25/8*2/5=8/3*1/х

5/4=8/3*1/х

5/4*3/8=1/х

15/24=1/х

24=15х

х=24/15=8/5=1,6

Вас заинтересует