• Предмет: Математика
  • Автор: binitanya2
  • Вопрос задан 1 год назад

Допоможіть розв'язати рівняння!!!!​

Приложения:

Ответы

Ответ дал: eeseooes
0

Пошаговое объяснение:

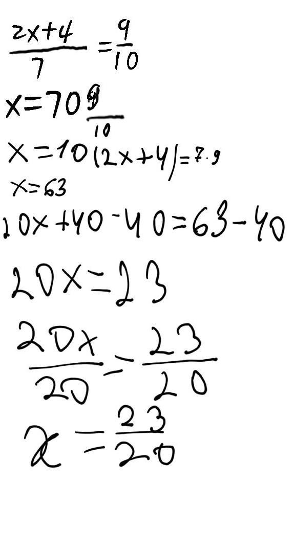
4 + 2х/7 = 9/10

10(4 + 2х) = 63

40 + 20х = 63

20х = 63 - 40

20х = 23

х = 23/20


binitanya2: Дякую
Ответ дал: skeletnasta
1

надеюсь помогла я извиняюсь ето алгебра???

Приложения:

binitanya2: Спасибо большое
Вас заинтересует