• Предмет: Алгебра
  • Автор: xBrutalx
  • Вопрос задан 11 лет назад

Мощно!

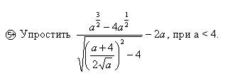
Упростите:

Приложения:

Ответы

Ответ дал: Гоша68
0

((asqrt(a)-4sqrt(a))/sqrt((a+4)^2/4a-4))-2a=

 

=(sqrt(a)(a-4)/(sqrt(4-a)^2/4a))-2a=-2a-2a=-4a

Вас заинтересует