• Предмет: Алгебра
  • Автор: mskqoslxm
  • Вопрос задан 2 года назад

просто варианты ответааа

Приложения:

Ответы

Ответ дал: danyabmw457
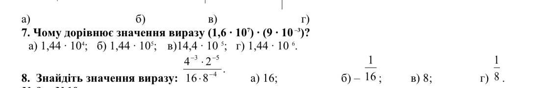
1
7)б
8)г
Вот, вроде все правильно
Вас заинтересует