• Предмет: Математика
  • Автор: isikpolina
  • Вопрос задан 1 год назад

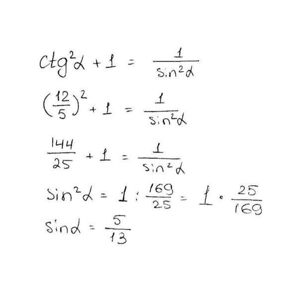
ctg a= 12/5
p найти значение остальных тригонометрических функций

Приложения:

Ответы

Ответ дал: fima94923
0

Ответ:

дорівнює 5/13 це все легко

Приложения:
Вас заинтересует