• Предмет: Алгебра
  • Автор: nutka23
  • Вопрос задан 1 год назад

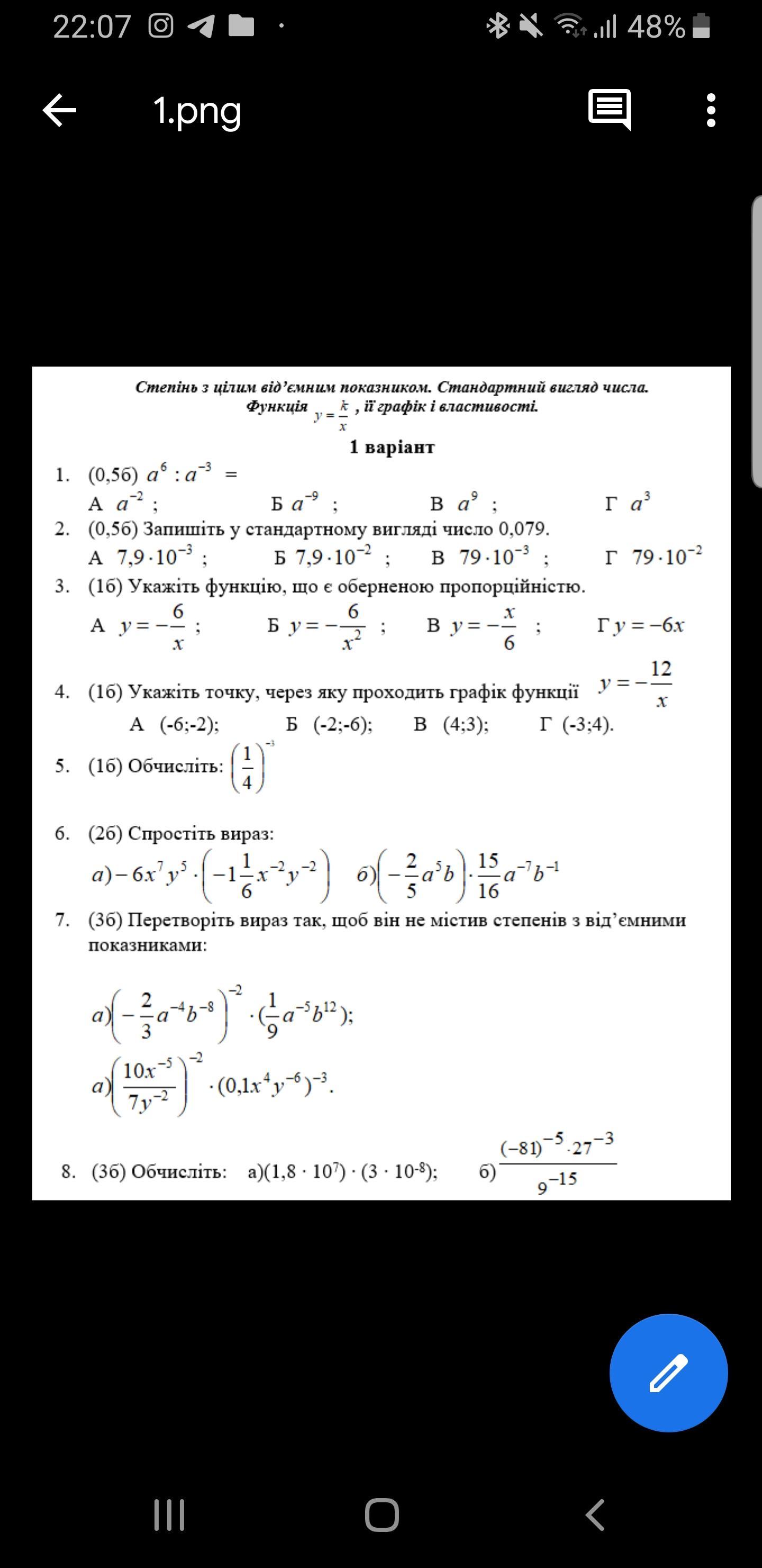
7 і 8 завдання
Даю 40 балів

Приложения:

Ответы

Ответ дал: mussayevaaktoty
1

Объяснение:

щныщ5в8ев8нч8нч8нчрдчщр

Приложения:

nutka23: Ти золото❤
Вас заинтересует