• Предмет: Алгебра
  • Автор: kakashakaski
  • Вопрос задан 1 год назад

СРОЧНО!!!! ДАМ 100 БАЛОВ ​

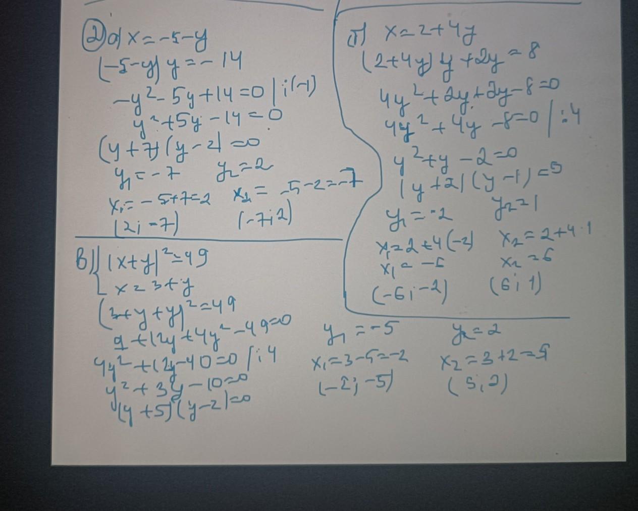
Приложения:

Ответы

Ответ дал: mussayevaaktoty
2

Объяснение:

лпящнынвщящвнщднвщвщн

Приложения:
Вас заинтересует