• Предмет: Алгебра
  • Автор: parneta555
  • Вопрос задан 2 года назад

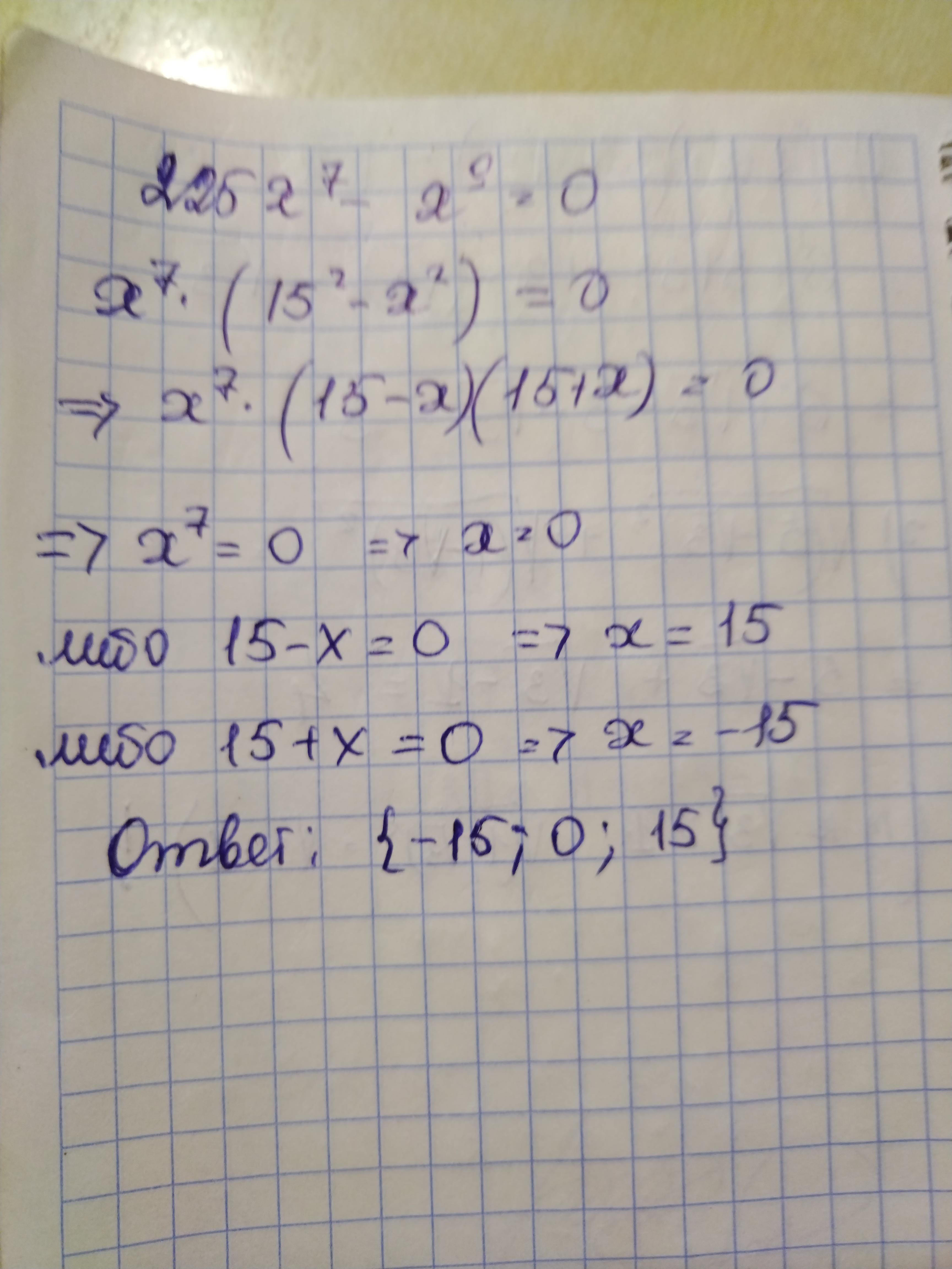
Розв'яжіть рівняння 225х⁷-x⁹=0​
Даю 20 балов!!!

Ответы

Ответ дал: MizoriesKun
1

смотри................,......

Приложения:
Вас заинтересует