100; БАЛОВ!!!!!!!СРОЧНО, ДВА ЗАВДАННЯ З АЛГЕБРИ!!!!
Приложения:

Simba2017:
1)V(7*n^8)
Ответы
Ответ дал:
2
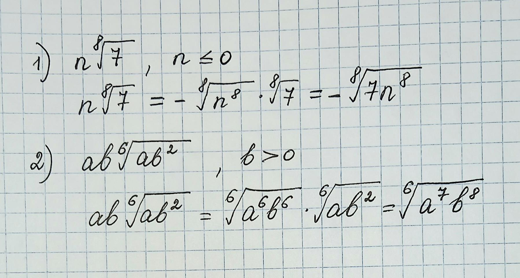
Ответ:
Объяснение:
решение на фото
Приложения:

Вас заинтересует
1 год назад
1 год назад
1 год назад
1 год назад
2 года назад
2 года назад
8 лет назад