• Предмет: Алгебра
  • Автор: ldalintin
  • Вопрос задан 1 год назад

помогите решить все вопросы дам 55балов и отметку

Приложения:

Ответы

Ответ дал: larisaserova53
0

Ответ:

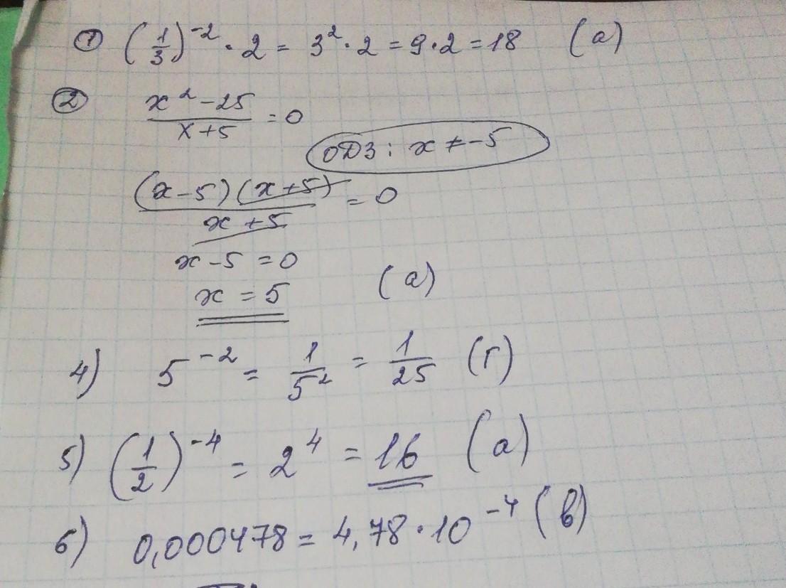
Смотри решение на фото..

Приложения:

larisaserova53: в 3)задании не видно степень где стрелка
larisaserova53: скажи какая степень и я оешу
larisaserova53: решу
larisaserova53: Быстрее!!!!!
Вас заинтересует