• Предмет: Алгебра
  • Автор: kushniranna1006
  • Вопрос задан 1 год назад

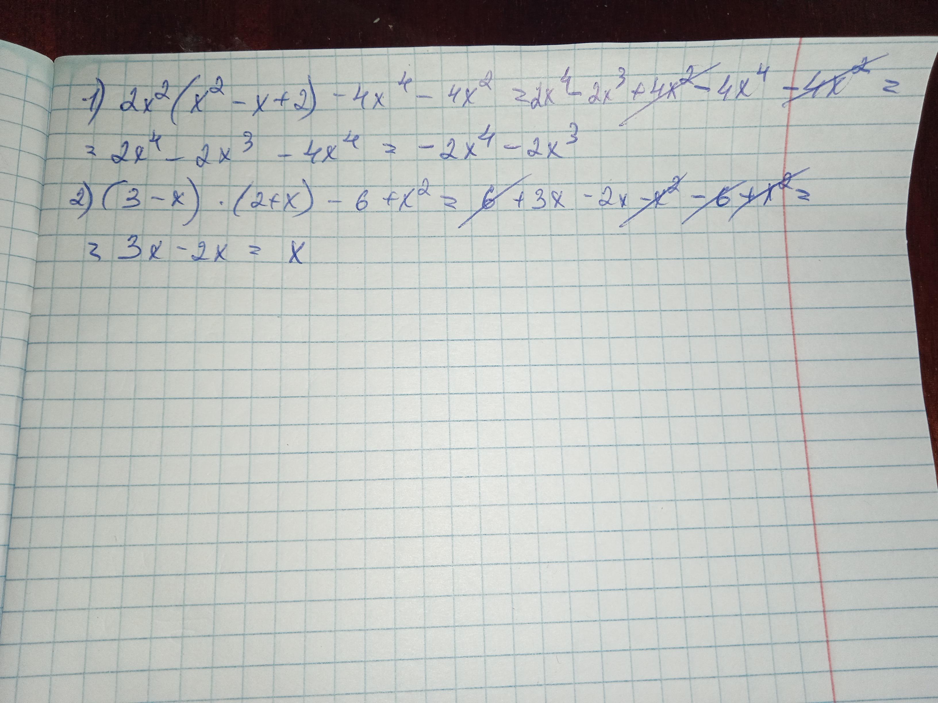
спростіть вираз
1) 2x²(x²-x+2)-4x⁴-4x²
2) (3-x)*(2+x)-6+x²

Ответы

Ответ дал: GGGGGGHHHHHHIIIIIIII
0

Ответ:

решение на фотографии, надеюсь что помогла

Объяснение:

Приложения:
Вас заинтересует