• Предмет: Алгебра
  • Автор: c343751
  • Вопрос задан 1 год назад

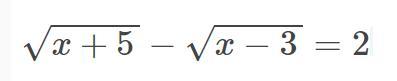
помогите пожалуйста с уравнением
\sqrt{x+5} -\sqrt{x-3}=2

Приложения:

Ответы

Ответ дал: polarkat
1

\sqrt{x+5}-\sqrt{x-3}=2\Leftrightarrow \cfrac{\left ( \sqrt{x+5}-\sqrt{x-3} \right )\left ( \sqrt{x+5}+\sqrt{x-3} \right )}{\sqrt{x+5}+\sqrt{x-3}}=2\\\cfrac{x+5-x+3}{\sqrt{x+5}+\sqrt{x-3}}=2\Leftrightarrow \cfrac{8}{\sqrt{x+5}+\sqrt{x-3}}=2\Rightarrow \sqrt{x+5}+\sqrt{x-3}=4\\\begin{cases}\sqrt{x+5}-\sqrt{x-3}=2\\ \sqrt{x+5}+\sqrt{x-3}=4\end{cases}\Rightarrow 2\sqrt{x+5}=6\Leftrightarrow x+5=9\Rightarrow x=4

Ответ дал: ВладимирБ
3

Ответ:

x=4

Объяснение:

решение на фото

Приложения:
Вас заинтересует