• Предмет: Алгебра
  • Автор: htc55
  • Вопрос задан 10 лет назад

помогите пожалуйста очень срочно надо!!!!пожалуйстаааа!!!!! умоляю решите!!!!!!

Приложения:

Ответы

Ответ дал: NNNLLL54
0
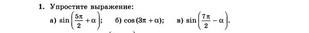
sin(frac{5pi}{2}+ alpha )=sin alpha \\cos(3pi + alpha )=-cos alpha \\sin(frac{7pi }{2}- alpha )=-sin alpha
Вас заинтересует