• Предмет: Алгебра
  • Автор: hujh57575
  • Вопрос задан 1 год назад

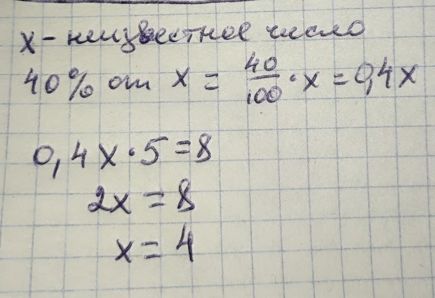
Если 40% неизвестного числа умножить на 5 получается 8

Ответы

Ответ дал: tetamotatetyamotya
1

Ответ:

.............

Объяснение:

................

Приложения:

mazelov: Тетя Мотя добрый вечер посмотрите моё задание по алгебре пожалуйста
mazelov: там 2 вопроса я их разделил
tetamotatetyamotya: добрый.Сейчас помогу.
Вас заинтересует