• Предмет: Математика
  • Автор: Necessar
  • Вопрос задан 1 год назад

знайти частковий розв'язок диференціального рівняння
(y+3)dx = (x+1) dy , y(1) =2​

Приложения:

Ответы

Ответ дал: polarkat
1

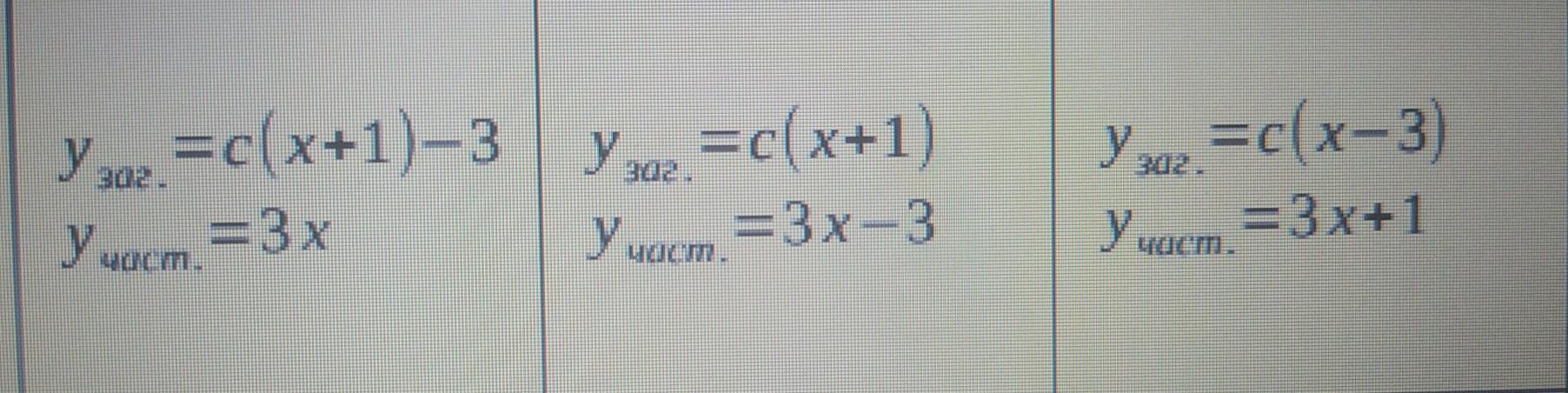
(y+3)dx=(x+1)dy\Leftrightarrow y'-\cfrac{y}{x+1}=\cfrac{3}{x+1}\Leftrightarrow \cfrac{y'}{x+1}-\cfrac{y}{(x+1)^2}=\cfrac{3}{(x+1)^2}\\\cfrac{y'}{x+1}+\cfrac{\mathrm{d}}{\mathrm{d} x}\left ( \cfrac{1}{x+1} \right )y=\cfrac{3}{(x+1)^2}\Leftrightarrow \cfrac{\mathrm{d} }{\mathrm{d} x}\left ( \cfrac{y}{x+1} \right )=\cfrac{3}{(x+1)^2}\\$\int \cfrac{\mathrm{d} }{\mathrm{d} x}\left ( \cfrac{y}{x+1} \right )dx=\int \cfrac{3}{(x+1)^2}dx\Rightarrow \cfrac{y}{x+1}=-\cfrac{3}{x+1}+C\Rightarrow y=C(x+1)-3$

y(1)=2\Rightarrow y=\cfrac{1}{2}(5x-1)

Вас заинтересует