Решите 2 задания на фото с полным решением, заранее спасибки))) Там все легко, но я заюыл тригонометрию, напомните своим полным решением (Поставлю вам лусший ответ и спасибо)
Приложения:
Ответы
Ответ дал:
0
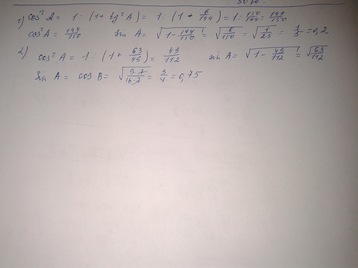
1+tg²A=1/cos²A⇒cos²A=1:(1+tg²A)
Sin²A+cos²A=1⇒sinA=√1-cos²A
SinA=CosB
Это прописные истины.Больше ничем помочь не могу.
Sin²A+cos²A=1⇒sinA=√1-cos²A
SinA=CosB
Это прописные истины.Больше ничем помочь не могу.
Приложения:
Ответ дал:
0
Из вашего ответа мне не чего не понятно...
Ответ дал:
0
1)BC=корень из 6
AC=12
AB= корень из (6+144)=150=5 корней из 6
sinA= корень из 6/5 корней из 6=1/5
2)BC=3 корня из 7
AC=7
AB=корень из (63+49)=корень из 112
cosB=3 корня из 7/корень из 112 3 корня из 7/ 4 корня из 7=3/4
AC=12
AB= корень из (6+144)=150=5 корней из 6
sinA= корень из 6/5 корней из 6=1/5
2)BC=3 корня из 7
AC=7
AB=корень из (63+49)=корень из 112
cosB=3 корня из 7/корень из 112 3 корня из 7/ 4 корня из 7=3/4
Приложения:
Ответ дал:
0
все? или ещё что-то написать?
Ответ дал:
0
sinA= корень из 6/5 корней из 6=5, и как ты тут получила 5??
Ответ дал:
0
распиши если не лень)
Ответ дал:
0
все
Ответ дал:
0
огромное спасибо
Вас заинтересует
3 года назад
3 года назад
8 лет назад
8 лет назад
11 лет назад
11 лет назад
11 лет назад
11 лет назад