• Предмет: Математика
  • Автор: Necessar
  • Вопрос задан 1 год назад

допоможіть будь ласка, час обмежений :⁠^⁠)
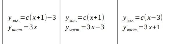
знайти загальний і частковий розв'язок диференціального рівняння
(y+3)dx = (x+1) dy , y(1) =2 (відповіді на фото)​

Приложения:

Ответы

Ответ дал: urazbeovaanela
0

вибачте я не зрозуміла 3 хоча б зробила 1 і 2 думаю буду хоч чимось корисною)

Приложения:
Вас заинтересует