Ответы
Ответ дал:
2
Ответ:
вот, на картинке
Объяснение:
адэвттэвплэ
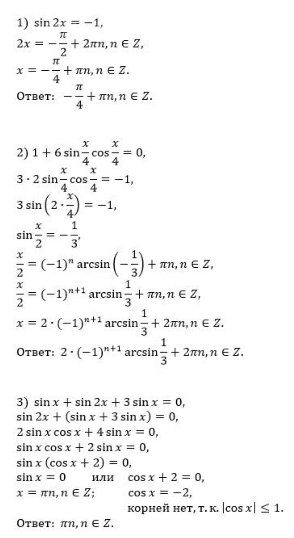
Приложения:

Вас заинтересует
1 год назад
1 год назад
1 год назад
8 лет назад