• Предмет: Алгебра
  • Автор: gerrsasa1
  • Вопрос задан 1 год назад

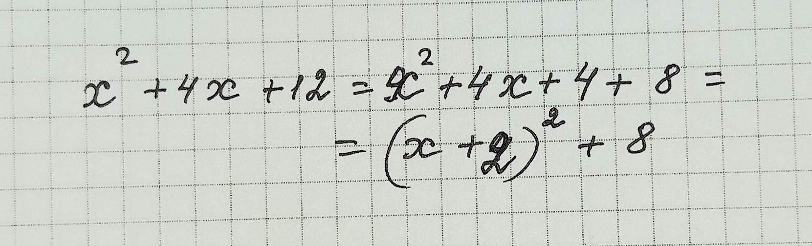
2 ВАРИАНТ (16} 1. Выделите квадрат двучлена из квадратного трехчлена: x² + 4x+12
срочно​

Ответы

Ответ дал: ВладимирБ
0

Ответ:

Объяснение:

решение на фото

Приложения:

saekaramazanova: Это точно правильно??
Вас заинтересует