• Предмет: Алгебра
  • Автор: lisakrytaya
  • Вопрос задан 10 лет назад

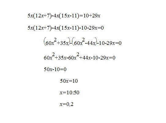
5х * (12х + 7 ) - 4х * (15х - 11)= 10+29х

Ответы

Ответ дал: triolana
0
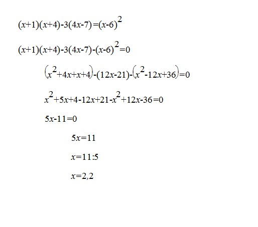
===================================
Приложения:
Ответ дал: triolana
0
решение добавила
Ответ дал: lisakrytaya
0
спасибо
Ответ дал: lisakrytaya
0
(х+3) * (х-3) - (2х -5 )^2 = -3х * (х-2)-27
Ответ дал: lisakrytaya
0
а вот этот пследний поможешь7
Ответ дал: lisakrytaya
0
помоги пожалуста :)
Вас заинтересует