Ответы
Ответ дал:
1
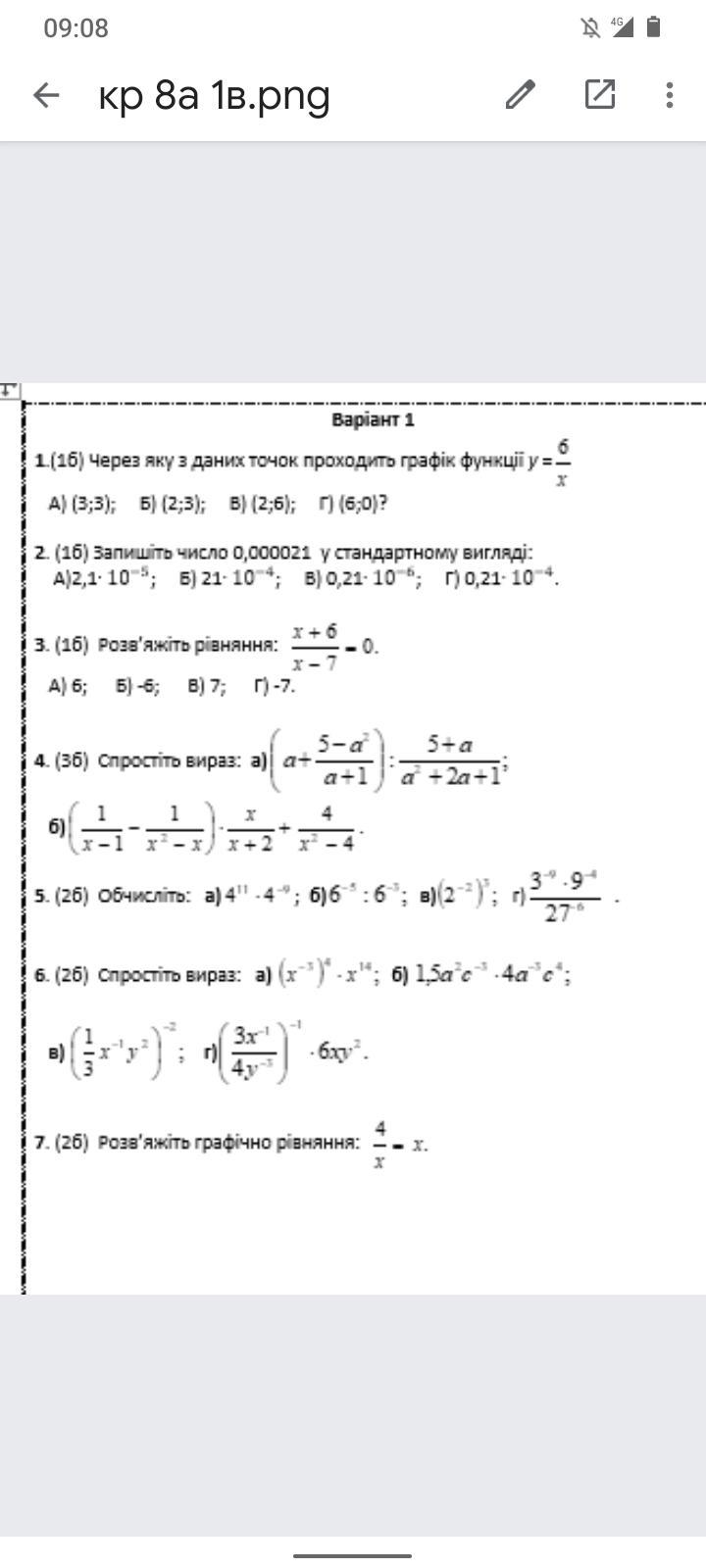
смотрите фото :.:.:.;..;
Приложения:

danilka12563478:
Спс
Вас заинтересует
1 год назад
1 год назад
2 года назад
2 года назад
8 лет назад
8 лет назад