• Предмет: Математика
  • Автор: alinkaolga789
  • Вопрос задан 1 год назад

здравствуйте помогите пожалуйста​

Приложения:

Ответы

Ответ дал: fafgagsghsh
1

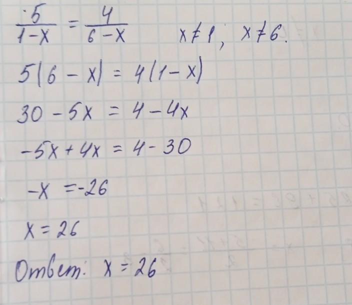
ответы и решения на листе

Приложения:
Вас заинтересует